Skip to main content
Exit Search
College of Science
&
Department of Physics
Sitemap
Search
BoxSand – Flip the Classroom
Main Navigation
Review & Vectors
Mechanics
Thermo/Fluids
Oscillations & Waves
Optics
Electricity & Magnetism
Breadcrumb
BoxSand
Solutions Archive
PH201 | Learning Modules | Solutions
Back to
Lecture 3 | Systems and Energy, Collisions
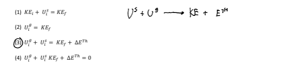
Consider a system
Consider a system
Consider a system
Solution